
官方公布最新消息
以下同学在今年3+证书考试中
可以加分啦!
不仅可以加分
还有优先录取资格
快看看,有没有你认识的人吧?


源自广东省教育考试院2025年高考报名文件
除以上6类外,还有以下两类考生
也可以享受加分:


①报考民族院校民族班(含广东技术师范大学少数民族生)计划的少数民族考生,单独划线。
②报考其它高等学校专科层次的少数民族考生,在其文化课统考成绩总分的基础上增加5分投档,由高校择优录取。
③报考普通高校少数民族预科班、民族班的少数民族考生,根据省招生委员会划定的录取分数线,由招生院校在本(专)科同批次录取。少数民族本、专科预科班录取分数线不得低于各有关高等学校在我省本、专科录取分数线下80分、60分;民族班录取分数线(本科)不得低于有关高等学校在我省本科录取分数线下40分;具体按省招生委员会当年划定为准。

源自广东省教育考试院2025年高考报名文件
1.有多项加分怎么办?
当考生符合多项资格时,在系统中可以多选,并按本、专科层次选择高分项输入。
2.需要提供什么证明?
烈士子女(非军人烈士子女)考生:本人身份证、家庭户口本(含考生及父或母)、父母结婚证、烈士证明书、抚恤证等原件及复印件
台胞子女(籍贯为台湾):《中华人民共和国台湾居民居住证》、五年期《台湾居民来往大陆通行证》之一,或持有《中华人民共和国居民户口簿》
自主就业的退役士兵:本人退出现役证和身份证原件及复印件。退出现役证需复印封面及内页
3.省招生办复核后,将符合普通高考考生加分资格名单在省教育考试院网站予以公示。未经公示的考生不能获得相关加分资格。
以上这些资料需要在报考期间
提交给报考点!
同学们如果可以加分,
千万不要忘记了哦!

通知原文如下↓↓↓
关于公示广东省2025年普通高等学校
招生具有加分资格考生名单的通知
各地级以上市教育局、招生办公室(考试中心、考试院):
根据《广东省招生委员会关于进一步调整广东省高考加分项目和加强管理工作的通知》(粤招〔2015〕6号)及广东省2025年普通高考报名有关规定,经考生申请、有关部门审核、省招办汇总确认,现将广东省2025年普通高校招生具有加分资格的考生名单(详见附件1-5)发给你们,并就有关事项通知如下:
一、请务必于1月22日前在地级以上市教育局、招生办的相关网站公示加分资格考生名单,同时转发至县区招办和高级中等教育学校进行公示,并公布联系方式。公示时间不少于10个工作日,并保留至2025年8月底。同时,我办从1月20日起将在广东省教育考试院网站(网址:http://eea.gd.gov.cn/)予以公示,公示信息保留至2025年12月底,联系电话:020-62833628。
二、如对公示名单有异议,可向地级市教育局、招生办和省教育考试院反映,反映意见须内容真实且具体明确,属个人反映的需签署真实姓名、联系电话,属单位反映的需加盖公章、署明联系方式,否则不予受理。
附件:
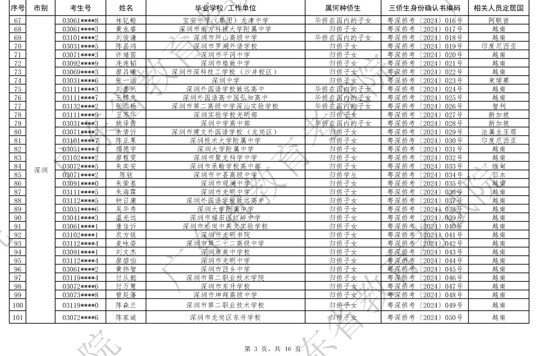
1.具有加分资格的“三侨生”考生名单
2.具有加分资格的台湾省籍考生名单
3.具有加分资格的广东省少数民族聚居区少数民族考生名单
4.具有加分资格的自主就业退役士兵考生名单
5.具有加分资格的烈士子女考生名单
广东省招生委员会办公室
2025年1月20日
















2.具有加分资格的台湾省籍考生名单
上下浏览查看↓





聚居区少数民族考生名单




















































4.具有加分资格的自主就业的退役士兵考生名单








5.具有加分资格的烈士子女考生名单




来源 | 综合自广东省教育考试院