2024年高考广东省前100名人数统计

茂名市化州一中附属实验中学赖冠熹同学,总分706分,广东省总分第1名


赖冠熹
物理类总分:706
广东省排名: 1
就读学校:化州一中附属实验学校(化州正雅学校)
湛江市第一中学宋伟帆同学高考历史类总分695分,是广东省文科第一名。


宋伟帆
历史类总分:695
广东省排名: 1
就读学校:初中就读湛江市霞山滨海学校,高中就读湛江第一中学
十二年寒窗苦读,金榜题名一鸣惊人。在湛江一中读书的雷州籍学子宋伟帆在今年高考中以历史类695分取得优异成绩,获得广东省2024年高考历史类全省第一名!近日喜讯传来,宋伟帆家乡雷州市雷高镇下尾村群众欢欣鼓舞,纷纷向其父母祝贺。
1.河源市
物理类:欧阳銮 河源中学 691
历史类:邱智乐 河源中学 661
2.梅州市
物理类:梅县东山中学 676;兴宁一中 676
3.江门市
物理类:
恩平黄冈实验学校 第一名 693
恩平黄冈实验学校 第二名 687
江门广雅中学 第三名 686
台山一中 第四名 685
江门一中 第五名 679
鹤山一中 第六名 677
恩平黄冈实验中学 第七名 671
开平一中 第七名 671
恩平黄冈中学 第九名 669
新会一中 第十名 667
4.韶关市
物理类:南雄一中 687
5.中山市
物理类:
中山华辰实验中学 郑棋瑞(全省前9,原籍广东揭阳);
697(全省第17名)
历史类:刘*淼 665
6.潮州市
物理类:沈烨 潮州金中 692
7.汕头市
物理类:
·汕头金中:698……
·潮阳实验学校:吴博 698 (全省第14名);高润宇697(全省第17名)……该校共有4人进入全省前50名……魏** 690;该校共有9人进入物理类和历史类前100
8.揭阳市
物理类:
潮阳实验学校普宁红领巾校区:池** 691(全省第59名);蔡** 687(全省第101名)。
9.茂名市
物理类:
·高州中学:黄禄临(全省第5);陈鸿毅(全省第61);郑惠珊(全省第76);黄嘉琦(全省第100).
·化州一中正雅实验学校:赖冠熹 (全省第6)
历史类:
高州中学:罗添升(全省第27);覃琳皓(全省第60)
10.佛山市
物理类:南海石门中学(全省前9)
11.广州市
物理类:广东广雅中学(全省前9);广东实验中学(全省前9),广州五中(全省前9);华南师大附中(全省前9)。
12.肇庆市
物理类:肇庆龙涛外国语学校 罗泽婷(全省前9,2020年揭阳市中考第一名);
13.深圳市
物理类:任盈琏 深圳中学 698(全省第12名)
历史类:黄苑芳 深圳中学(全省前7)
14.湛江市
物理类:林志曦 博雅学校 695(全省第28名)
(未完......)
茂名市▼▼▼
高州中学一学生,高考广东省排名前九。据说目前该考生,已接到北京大学来电。

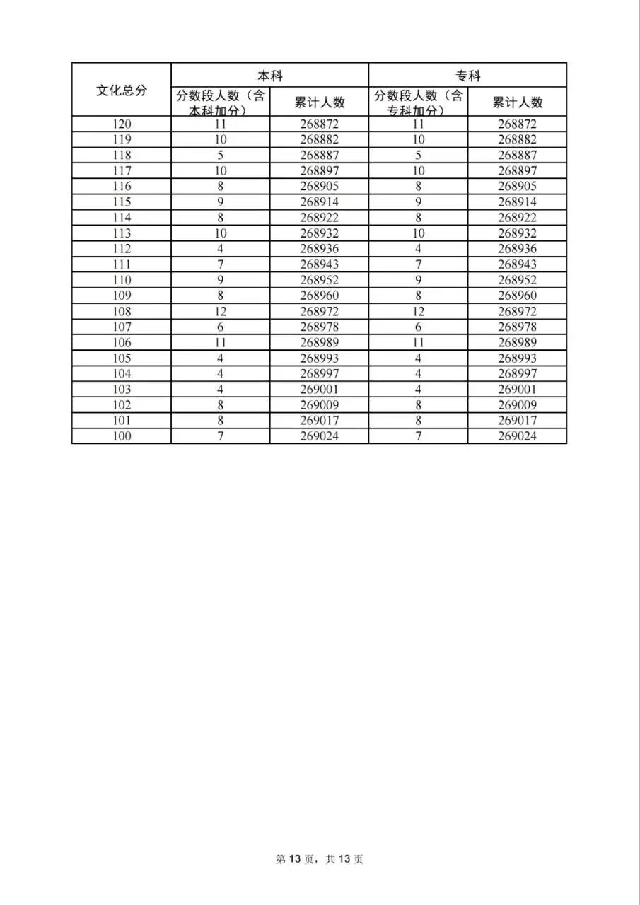
一分一段表在高考志愿填报中有着重要的参考作用,通过一分一段表,考生可以快速地查找出自己所在的位次区间,同分段有多少个考生,能较为准确地对自己定位。这种定位有助于考生更科学地制定志愿填报策略。同时,一分一段表能帮助考生更好地评估目标院校范围,考生根据自己在全省的排名(由一分一段表得出),可以进一步缩小目标院校的范围。结合目标院校的录取情况、招生计划等信息,考生可以更有针对性地选择适合自己的学校。
2024年,普通类(物理)方面,广东省普通高考的最低录取分数线为442分。根据公布出来的一分一段数据表统计,今年上线考生总共有253795人,其中600分以上考生有22216人;500分以上考生有148661人;200分以下(100-200分)考生有2157人。
2024年,普通类(历史)方面,今年普通类(历史)最低分数线(指本科,下同)为总分428分。根据分数段统计,上线考生总共96266人。600分以上考生3046人;500分以上考生39282人;200分以下(100-200分)考生2588人。
物理类
考生450961人,600分以上22216人
690分以上的有73人
历史类
考生269024人,600分以上3046人
物理类:














历史类:


据悉,广东省2024年普通高校招生考生填报志愿时间为6月28日-7月4日,为便于考生填报志愿,确保志愿填报工作顺利进行,现将我省今年普通高考各科类各分数段成绩数据予以公布。